https://leetcode.com/problems/swap-nodes-in-pairs/description/


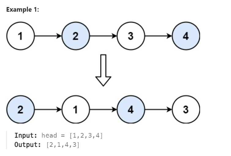
- 연결 리스트를 입력받아 페어(pair)단위로 스왑하라
풀이 1) 값만 교환
- 연결 리스트의 노드를 변경하는 게 아닌, 노드 구조는 그대로 유지하되 값만 변경하는 방법
class Solution {
public ListNode swapPairs(ListNode head) {
//스왑을 진행할 노드 선언
ListNode node = head;
//현재 노드와 다음 노드가 존재하면 계속 진행
while(node != null && node.next!=null)
{
//임시 변수를 이용해 값만 교환
int tmp;
tmp = node.val;
node.val = node.next.val;
node.next.val = tmp;
//두칸 앞으로 이동
node = node.next.next;
}
//첫 번째 노드를 정답으로 리턴
return head;
}
}
풀이 2) 반복 구조로 스왑
- 단순히 값을 바꾸는 일에 비해 연결 리스트 자체를 바꾸는 일은 다소 복잡한 문제
- 1->2->3->4->5->6인 연결 리스트에서 3->4를 4->3으로 바꾼다고 할 때, 단순히 둘만 바꾼다고 끝나는 문제가 아니라 그 앞인 2가 가리키는 연결 리스트와 5로 연결되는 연결 리스트도 다 같이 변경해야 하기 때문
- 현재 노드를 node, 다음 노드를 a, 다음 다음 노드를 b라고 할 때 다음과 같이 변경할 수 있다.
a.next = b.next;
node.next = b;
node.next.next = a;
- node->a->b-> 구조 였던 연결 리스트가 ->node->b->a 구조로 변경
- 이렇게 위치를 변경한 이후에는 두 칸씩 앞으로 이동하며 다시 다음번 교환을 진행하면 됨
class Solution {
public ListNode swapPairs(ListNode head) {
//값을 계산할 임시 노드 선언
ListNode node = new ListNode(0);
//임시 노드를 첫 번째 노드로 선언
ListNode root = node;
//다음 노드는 첫 번째 노드로 지정
node.next = head;
//다음 노드와 다음 다음 노드가 있으면 반복
while(node.next!= null && node.next.next!= null)
{
//a는 다음 노드
ListNode a = node.next;
//b는 다음 다음 노드
ListNode b = node.next.next;
//위치 변경
a.next = b.next;
node.next = b;
node.next.next = a;
//두 칸 앞으로 이동
node = node.next.next;
}
//첫 번째 노드는 임시 노드이므로 그 다음부터 결과로 리턴
return root.next;
}
}
풀이 3) 재귀 구조로 스왑
- 반복 풀이와 달리 포인터 역할을 하는 p 변수는 하나만 있어도 충분하며, 더미 노드를 만들 필요 없이 head를 바로 리턴할 수 있어 공간 복잡도가 낮다.
- p는 head.next가 되고, p.next는 head가 된다.
- 물론 그 사이에 재귀 호출로 계속 스왑된 값을 리턴받게 된다.
- 다른 연결 리스트 문제들의 풀이와 마찬가지로 실제로는 리턴되면서 연결 리스트가 이어지게 된다.

class Solution {
public ListNode swapPairs(ListNode head) {
//현재 노드와 다음 노드가 있으면 반복
if(head!=null && head.next!=null)
{
//다음 노드 선언
ListNode p = head.next;
//다음 다음 노드를 파라미터로 전달하고 스왑된 값을 리턴받음
head.next = swapPairs(head.next.next);
//다음 다음 노드는 현재 노드로 지정
p.next = head;
//다음 노드 리턴
return p;
}
return head;
}
}'Java > 알고리즘' 카테고리의 다른 글
| [자바 알고리즘 인터뷰] 8장 연결 리스트(7) - 역순 연결리스트 2 (0) | 2024.05.06 |
|---|---|
| [자바 알고리즘 인터뷰] 8장 연결 리스트(6) - 홀짝 연결 리스트 (0) | 2024.05.04 |
| [자바 알고리즘 인터뷰] 8장 연결 리스트 (4) - 두수의 덧셈 (0) | 2024.05.03 |
| [자바 알고리즘 인터뷰] 8장 연결 리스트(3) - 역순 연결 리스트 (0) | 2024.05.03 |
| [자바 알고리즘 인터뷰] 8장 연결 리스트(2) - 두 정렬 리스트의 병합 (0) | 2024.05.03 |